省重点实验室2024年文章
1.Yao Yu*, Jun Zhang, Wan Huang, Li Luo, Lijun Han, Taolei Sun*. Spatiotemporally controlled AuNPs@ZIF-8 based nanocarriers for synergistic photothermal/chemodynamic therapy[J]. Acta Biomaterialia, 2024, 375: 317-328.
2. Dayong Hou, Dongbing Cheng, Niyuan Zhang, Zhijia Wang, Xingjie Hu, Xin Li, Meiyu Lv, Xiangpeng Li, Lingrui Jian, Jinpeng Ma, Taolei Sun*, Zengying Qiao*, Wanhai Xu, Hao Wang*. In vivo assembly enhanced binding effect augments tumor specific ferroptosis therapy[J]. Nature commucation, 2024, 15: 454.
3. Li Luo, Wan Huang, Jun Zhang, Yao Yu*, Taolei Sun. Metal-based nanoparticles as antimicrobial agents: A Review[J]. ACS Applied Nano Materials, 2024, 7(3): 2529–2545.
4. Zehui Yao, Zijun Zhang, Jingli Zhang, Jing Li, Guanbin Gao*, Taolei Sun*. Charge Effect of Mercaptobenzimidazole-modified ultrasmall gold-nanoparticles against drug-resistant bacteria[J]. ACS Applied Bio Materials, 2024, 7(5): 3330–3336.
5. Linlin Yuan, Zhenhua Gu, Jingli Zhang, Zijun Zhang, Quan Wan, Liangchong Yu, Qingxue Mu, Taolei Sun, Guanbin Gao*. A pentametallic high-entropy mixed-dimensional mesoporous heterostructure for azo-dye wastewater degradation and decolorization[J]. Separation and Purification Technology, 2024, 350(18): 127951.
6. Junlei Yang, Shiyi Peng, Yunlong Zhao, Tao Tang, Jian Guo, Ran Cui*, Taolei Sun*, Mingxi Zhang*. Improving three-photon fluorescence of Near-Infrared quantum dots for deep brain imaging by suppressing biexciton decay[J]. Nano Letters, 2024, 24(22): 6706–6713.
7. Hu Li, Guanbin Gao*, Liangchong Yu, Zijun Zhang, Bin Zhang, Yuzhou Deng, Qingxue Mu, Lei Shen*, Taolei Sun*. Interfacial metal atoms of metallic nano-chaperones on modulating amyloid fibrillation[J]. Science China Materials, 2024, DOI: 10.1007/s40843-024-2960-6
8. Furong Li, Ye Yuan, Donghao Lyu, Yujie Yi, Jingli Zhang*, Taolei Sun, Guanbin Gao*. Palladium-catalyzed domino heck/cross-coupling cyclization reaction: diastereoselective synthesis of furan-containing indolines[J]. The Journal of Organic Chemistry, 2024, 89(11): 7552–7560.
9. Sisi Fan, Qinghuan Liu, Jia Dong, Xiaorui Ai, Jing Li*, Wei Huang, Taolei Sun*.
10. Yuzhou Deng, Guanbin Gao*, Liangchong Yu, Zijun Zhang, Bin Zhang, Hu Li, Xinyu Zhang, Lei Shen, Taolei Sun*. Engineering core/ligands interfacial anchors of nanoparticles for efficiently inhibiting both Aβ and Amylin fibrillization[J]. Small ,2024, DOI: 10.1002/smll.202
11. Yunlong Zhao, Tao Tang, Junlei Yang, Fushou Liu, Jian Guo, Ran Cui*, Mingxi Zhang*, Taolei Sun*. Bioorthogonal NIR-IIb quantum dots for imaging-guided photothermal therapy[J]. ACS Applied Nano Materials, 2024, DOI: 10.1021/acsanm.4c01794
12. Dayong Hou, Niyuan Zhang, Lu Wang , Meiyu Lv , Xiangpeng Li , Peng Zhang , Yueze Wang, Lei Shen, Xiuhai Wu, Bo Fu, Pengyu Guo , Ziqi Wang, Dongbing Cheng*, Hao Wang* , Wanhai Xu*. Inducing mitochondriopathy-like damages by transformable nucleopeptide nanoparticles for targeted therapy of bladder cancer[J]. National Science Review, 2024, 11(4): nwae028.
13.Panzhen Jiang, Aqeela Zahra, Xi Guo, Jianping Wu*. Recent advances in the therapeutic potential of sinomenine for cancer treatment[J]. Pharmacology, 2024,109(2):76-85
14. Shuai Gong, Guanbin Gao*, Taolei Sun*, Lei Shen*. Inhibition of α-Synuclein misfolding into β-Sheet domains on medium-sized gold nanoclusters: evidence from enhanced sampling MD simulations[J]. ACS Macro Letters, 2024,13: 1476-1482.
15. Si Chen, Zhixin Lei*, Taolei Sun*. The critical role of miRNA in bacterial zoonosis[J]. International immunopharmacology, 2024, 143(1): 113267.
16. Yujie Yi, Ye Yuan, Songsong Zhu, Jinbei Wang, Zhaolin Wang , Jingli Zhang*, Guanbin Gao, Taolei Sun*. Accessing furan-linked methylene oxindoles/benzofurans via stereoselective palladium-catalyzed domino cyclization/cycloisomerization[J]. The Journal of Organic Chemistry, 2024, 89(17): 12085-12093.
17. Xiaorui Ai, Zeyu Cao, Zhaoru Ma, Qinghuan Liu, Wei Huang, Taolei Sun, Jing Li *, Chenxi Yang*. Proteomic analysis reveals physiological activities of Aβ peptide for alzheimer’s disease[J]. International Journal of Molecular Sciences, 2024, 25(15): 8336.
18. Fan Wang, Ze Li, Si Chen, Youyu Feng, Xin Luo, Haseeb Khaliq, Zhixin Lei *, Taolei Sun*. Typhoid and paratyphoid fever epidemiological indicators and spatiotemporal analysis in China from 2004 to 2019[J]. Acta Tropica, 2024, 258:107335.
19. Kai Yang*, Xi Wang, Hanyu Pan, Xinqing Wang, Yunhan Hu, Yihe Yao, Xinyue Zhao, Taolei Sun*. The roles of AIM2 in neurodegenerative diseases: insights and therapeutic implications[J]. Frontiers in Immunology, 2024, 15:1441385.
20. Jiawei Song, Fang Xia, Xiulan Zhang, Cheng-Pan Zhang *. Pd-catalyzed relay Heck arylation of alkenyl alcohols with arylsulfonium salts[J]. Organic Chemistry Frontiers, 2024, 11, 4219–4230.
21.Fei Li, Jiawei Song, Xue Han, Chengpan Zhang∗. Progress in photocatalyzed trifluoromethylthiolation and trifluoromethylselenolation reactions[J]. Synthesis-stuttgart, 2024: DOI 10.1055/a-2335-8627.
22. Yufei Yao, Jiawei Song, Chengpan Zhang*. Base-mediated synthesis of aryl enol ethers from α-aryl allylic alcohols and arylsulfonium salts[J]. Organic & Biomolecular Chemistry, 2024, 22(38):7866-7873.
23.Junyi Hu, Leilei Xu*, Jingjing Cao, Jinwei Lin, Chenxi Lian, Jianguo Guan*. Glucose-fueled cationic nanomotors for promoting the healing of infected diabetic wounds[J]. Journal of Colloid and Interface Science, 2025, 679:747-759.
24.Chuan Cao, Fangzhi Mou*, Manyi Yang, Shuming Zhang, Di Zhang, Luolin Li, Tong Lan, Dunyi Xiao, Wei Luo, Huiru Ma*, Jianguo Guan*. Harnessing disparities in magnetic microswarms: from construction to collaborative tasks[J]. Advanced Science, 2024, 11:2401711.
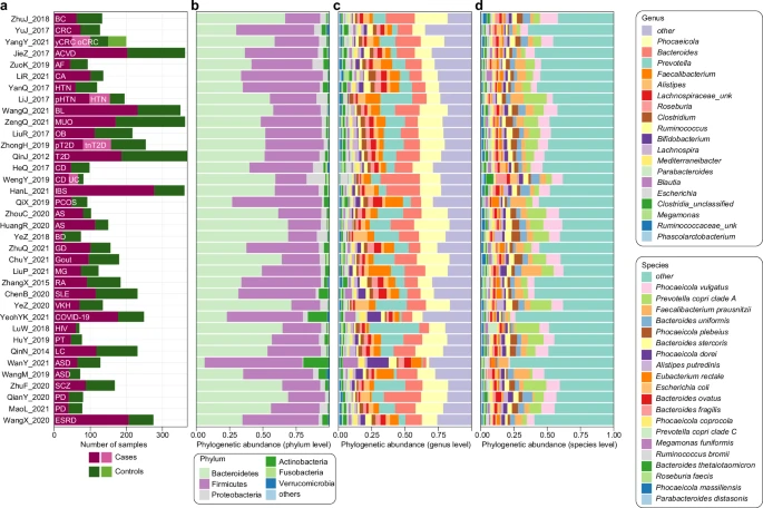
25.Wen Sun, Yue Zhang, Ruochun Guo, Shanshan Sha, Changming Chen, Hayan Ullah, Yan Zhang, Jie Ma, Wei You, Jinxin Meng, Qingbo Lv, Lin Cheng, Shao Fan, Rui Li, Xiaohong Mu*, Shenghui Li* , Qiulong Yan*. A population-scale analysis of 36 gut microbiome studies reveals universal species signatures for common diseases[J]. npj Biofilms and Microbiomes, 2024, 10(1):96.
26. Zhang Jiexin, He Meng*, Gao Guanbin, Sun Taolei*. Bibliometric analysis of research on the utilization of nanotechnology in diabetes mellitus and its complications[J]. Nanomedicine, 2024, 19(16):1449-1469.
27. Zijun Zhang, Limei Qian, Nan Zhang, Xinyue Wang, Yunshen Fu, Guanbin Gao*,Taolei Sun*. Advances in spiky antibacterial materials: From bioinspired design to application[J]. Small Structures, 2024, 2400370.
28. Xue Ding, YuFei Yao, JiangYu Li, ChengPan Zhang*. Copper-mediated decarboxylative trifluoromethylselenolation of alkynyl carboxylic acids with [Me4N][SeCF3] [J]. European Journal of Organic Chemistry, 2024, e202400851.
29. Xinqing Wang, Wenxin Li, Xinyue Zhao, Ning Hu, Xi Wang, Xilin Xiao*, Kai Yang*, Taolei Sun. Dysregulated Coagulation in Parkinson’s Disease [J].Cells, 2024, 13(22):1874.
30. Chunnan Zhu*, Xin Chen, Yongqiang Xu, Fei Wang, Dongyun Zheng, Chao Liu,Xuehao Zhang*, Yu Yi*, Dongbing Cheng*. Advanced Preparation Methods and Biomedical Applications of Single-Atom Nanozymes [J]. ACS Biomaterials Science & Engineering, 2024, 10, 7352−7371.
31. Wan Huang#, Song Zhang#, Li Luo, Yalong Pan, Lijun Hana, Yao Yu*. Efficient bionic nanozyme based on AuPt NPs@ZIF-90 used for cyclic catalysis multimodal tumor therapy [J]. Journal of Materials Chemistry B, 2024, 12, 12597–12607.






























